极片柔韧性是电池极片材料的一个重要性能指标,它反映了极片在受到外力作用时发生形变并恢复原始形状的能力,以及极片在较大形变范围内承受外力而不发生断裂的能力。
极片的柔韧性对于电池制造过程和电池的性能都有重要影响。在电池制造过程中,极片需要经历辊压、分切、卷绕等多个工序,柔韧性差的极片在这些工序中容易发生掉料、漏箔、断带等问题,影响生产效率并增加制造成本。在电池性能方面,柔韧性差的极片在电池充放电过程中容易发生断裂或破坏,导致电池容量下降、循环寿命缩短等问题。因此,电池生产过程中需要对极片柔韧性做出要求,通过合理的测试方法和工艺控制,可以确保极片具有良好的柔韧性,从而提高电池的整体性能。
极片柔韧性通常可以区分为可弯曲性和可复原性两个方面。可弯曲性是指极片在单次或有限次弯曲过程中抵抗断裂或破坏的能力。它侧重于极片在受到单次弯曲应力时,能否保持结构完整而不发生断裂。可复原性是指极片在多次弯曲过程中发生形变后的恢复能力和长期稳定性。它侧重于极片在多次弯曲后,能否恢复到接近其原始形状和应力状态。
川源科技的极片柔韧性测试仪(Flex系列),是针对有较严格柔韧性需求的锂电池极片所设计的测试设备,可用于区分不同极片的柔韧性。本设备基于应力-应变曲线的测试方法,将规定大小的平整极片固定在测试装置上,通过装置转动对极片进行弯曲,测量极片在不同弯曲角度下的应力和应变(应力-弯曲角度)。

图1.极片柔韧性测试仪(Flex系列)

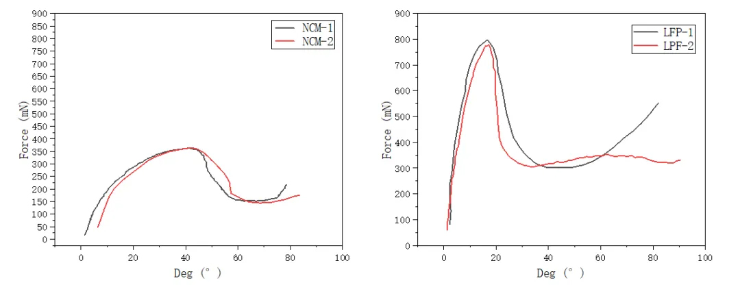
图2.NCM极片与LFP极片的弯曲曲线
表1.极片断裂点数值

两种不同材料的正极极片,均裁切成尺寸38*80mm的标准样品大小,通过川源极片柔韧性测试仪进行弯曲测试。分析图2中的弯曲曲线,两种极片平行样一致性良好,二者均有明显的力值突变点,并且突变点后应力迅速衰减,说明二者在该过程中均发生了断裂情况。由表1数据可知,NCM极片样品断裂点角度更大,意味着该样品可以承受更大的弯曲角度,柔韧性相对更好。
在柔性电池、可折叠手机等应用中,极片的可弯曲性至关重要。这些产品需要极片能够适应复杂的形变和弯曲需求,而具有良好可弯曲性的极片则能够满足这些需求并提高产品的性能和使用寿命。通过极片柔韧性测试,可以根据需求从不同角度测定极片的柔韧性,以满足在实验或生产中不同的现实场景。
关注我们,带您了解电池检测行业动态 商务咨询,欢迎拨打服务热线 0512-65165337